Influence of the Probability Level on the Framing Effect
Keywords:
framing effect, risky decision-making, outcome probability, decision-making domainAbstract
Research of the framing effect of risky choice mostly applies to the tasks where the effect of only one probability or risk level on the choice of non-risky or risky options was examined. The conducted research was aimed to examine the framing effect in the function of probability level in the outcome of a risk option in three decision-making domains: health, money and human lives. It has been confirmed that the decision-making domain moderates the framing effect. In the monetary domain, the general risk aversion has been confirmed as registered in earlier research. At high probability levels, the framing effect is registered in both frames, while no framing effect is registered at lower probability levels. In the domain of decision-making about human lives, the framing effect is registered at medium high and medium low probability levels. In the domain of decision-making about health, the framing effect is registered almost in the entire probability range while this domain differs from the former two. The results show that the attitude to risk is not identical at different probability levels, that the dynamics of the attitude to risk influences the framing effect, and that the framing effect pattern is different in different decision-making domains. In other words, linguistic manipulation representing the frame in the tasks affects the change in the preference order only when the possibility of gain (expressed in probability) is estimated as sufficiently high.Downloads
Additional Files
- Picture 1. Value function
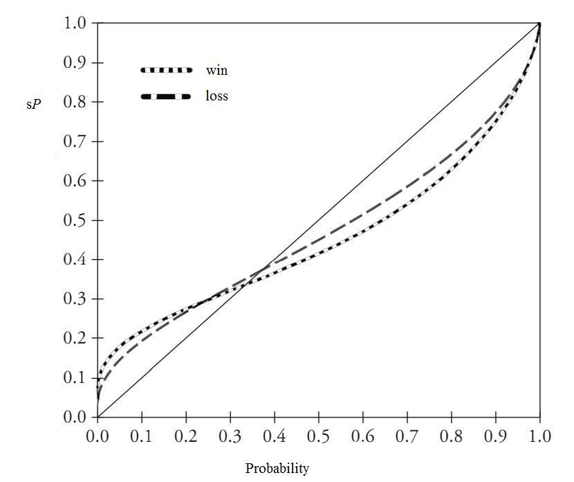
- Probability weighting function
- Group differences in Risk preference for Positively and Negatively Framed Outcomes of Decision Problems in three domains
- Choice of the risky option as the function of the probability level of the favourable risky option outcome in deciding tasks in three domains
- Overview of stimuli production
Published
2016-11-27
Issue
Section
Articles